


Cholesterol ester
- Cholesterol ester 完全疏水,能聚的更密

- apoproteins CII
- apoproteins B100
抑制可降血脂
- 抑制HMG-CoA
- 促進ACAT
- 調控 LDL receptor 表現


- Long chain (10-20)
- Medium chain (4-12)
- 外膜上加 Acetyl-CoA
- Carnitine
- Carnitine-acylcarnitine translocase
- 轉運 Carnitine, Fatty acyl-Carnitine
- Carnitine acyltransferase I (CPTI)
- Carnitine acyltransferase II (CPTII)

粒線體基質
β氧化數逐漸上升
Acyl-CoA dehydrogenase
Enoyl-CoA hydratase
3-L-hydroxyacyl-CoA dehydrogenase
β-ketothiolase (thiolase)
- Acetyl CoA + oxaloacetate → Citrate

- 一個Acetyl-CoA 進入 Citric Acid Cycle 產生 3NADH + FADH2 + ATP/GTP
enoyl-CoA isomerase
2,4-dienoyl-CoA reductase
- 消耗NADPH
- 2-trans,4-cis烯轉成3-cis







- ACC 先接 E-Biotin,再 HCO3-
- 產生 Malonyl-CoA (3)
- 調控步驟
- citrate 促進 (Acetyl-CoA 用不完了)
- AMPK、PKA、Fatty acyl-CoA 抑制
- Acetyl-Acyl Carrier Protein (ACP)


β-Ketoacyl-ACP synthase (KS)



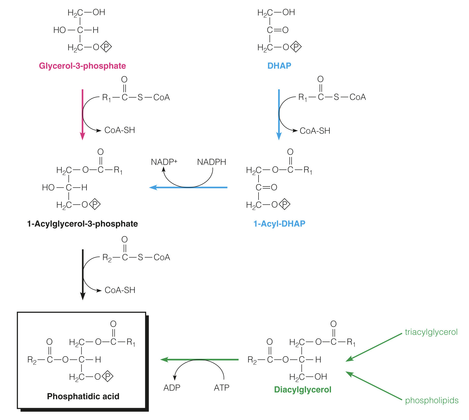
原料
DHAP or Glycerol 轉成 Glycerol-3-phosphate
glycerophosphate acyltransferase (GPAT)
接脂肪酸上去


- glycerol phosphate
acyltransferase enzymes
- CDP-diacylglycerol
synthase
看看就好


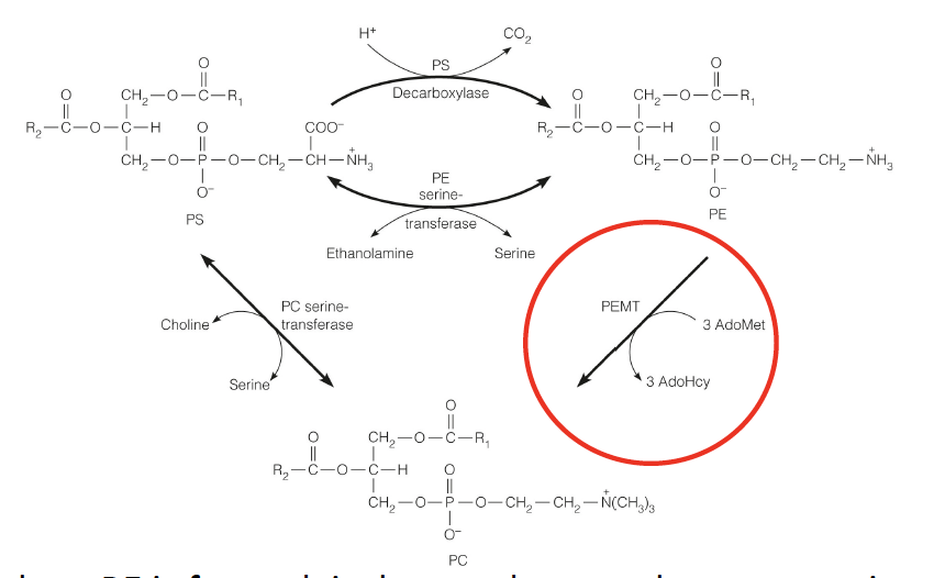
- PG 帶負電
- PE不帶電
- 可以根據膜電位調整



- Kinase
- 接上CMP,變成CDP-??
- DAG 黏上去
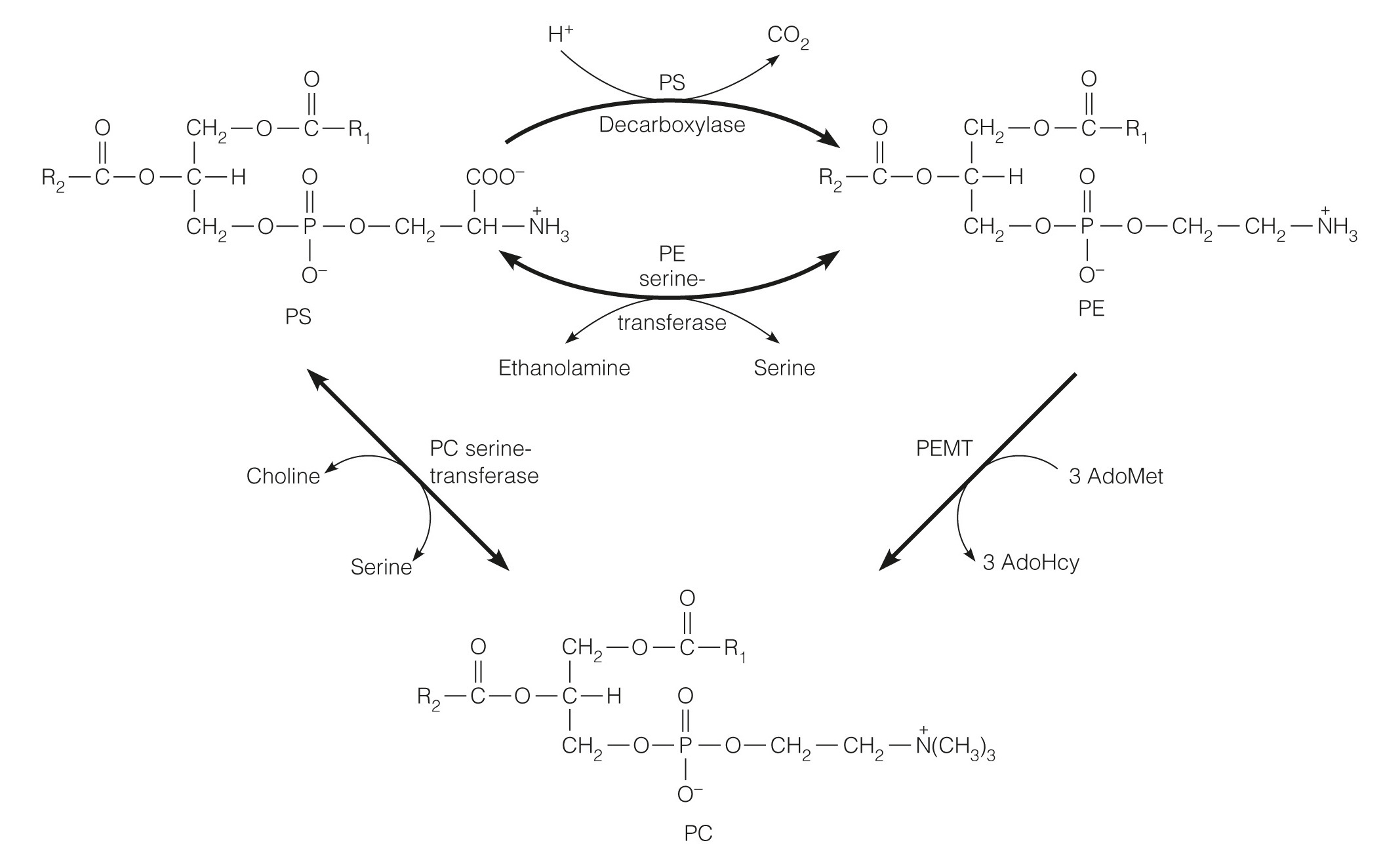
PEMT

- PE 被加了三次甲基變成PC
- 甲基來源AdoMet
- methionine adenosyltransferase 一次拔三個Pi


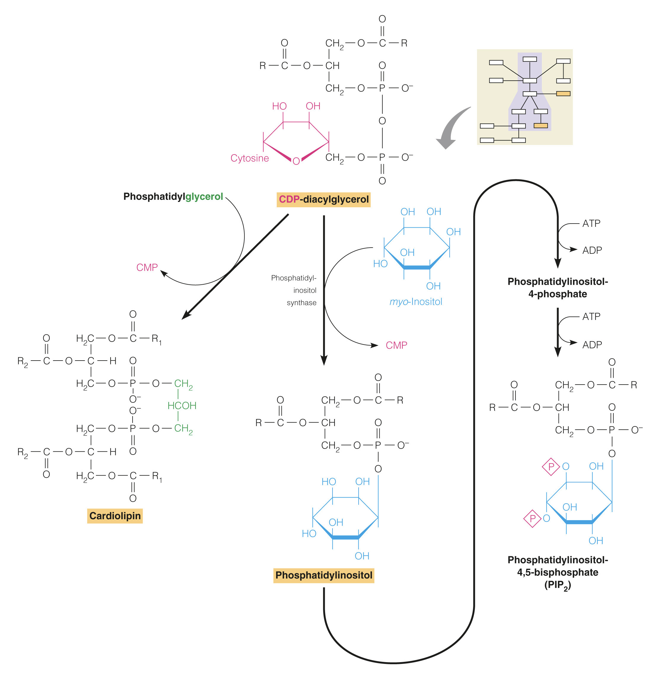
- Cardiolipin
- PI
- CDP-diacylglycerol 接六碳醣
- 負電
- phospholipases and specific lysophospholipid acyltransferases
- 切割位置

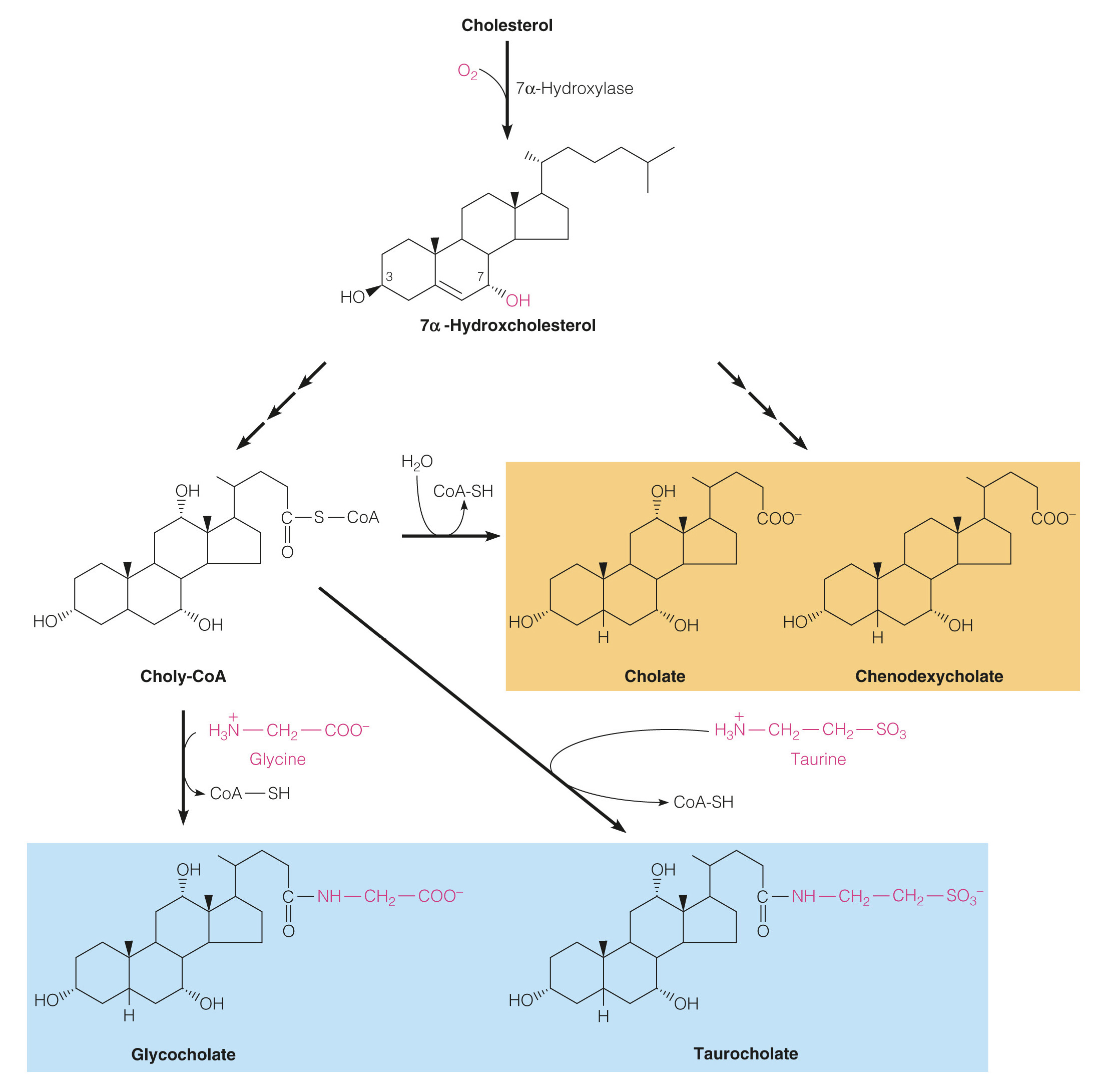
蛇毒
有些能切掉碳鏈,讓磷脂少一條,變成類似介面活性劑,溶cell
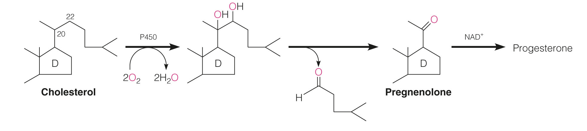
27 C
- 產生mevalonate
- HMG-CoA reductase 拔 S CoA, 還原 ketone


- From 6 carbon (C6) mevalonate to 5 carbon (C5) IPP and DMAPP:
- 三次磷酸化
- 第三個磷酸、CO2一起走
- IPP isomerase 轉換 IPP and DMAPP
- 越來越長


泛素調控 HMG CoA reductae
- Lanosteral (cholesterol 前驅) 結合 Insig
- Insig 把所有人黏起來
- Ubc7 在 HMG-CoA reductase 上接 Ubiquitin
- Proteasome 降解 HMG-CoA reductase
- Ubiquitin
- 泛素,標記擊殺

- 轉錄因子:bHLH
- 高 Cholesterol 會讓 Insig 抓 SCAP
- SREBP
- sterol regulatory element binding proteins
- Scap
- SREBP cleavage-activating protein




- Retinal 會黏在 Disk 和 Opsin結合,形成 rhodopsin 上感光
- 照光丟出質子,變成 trans
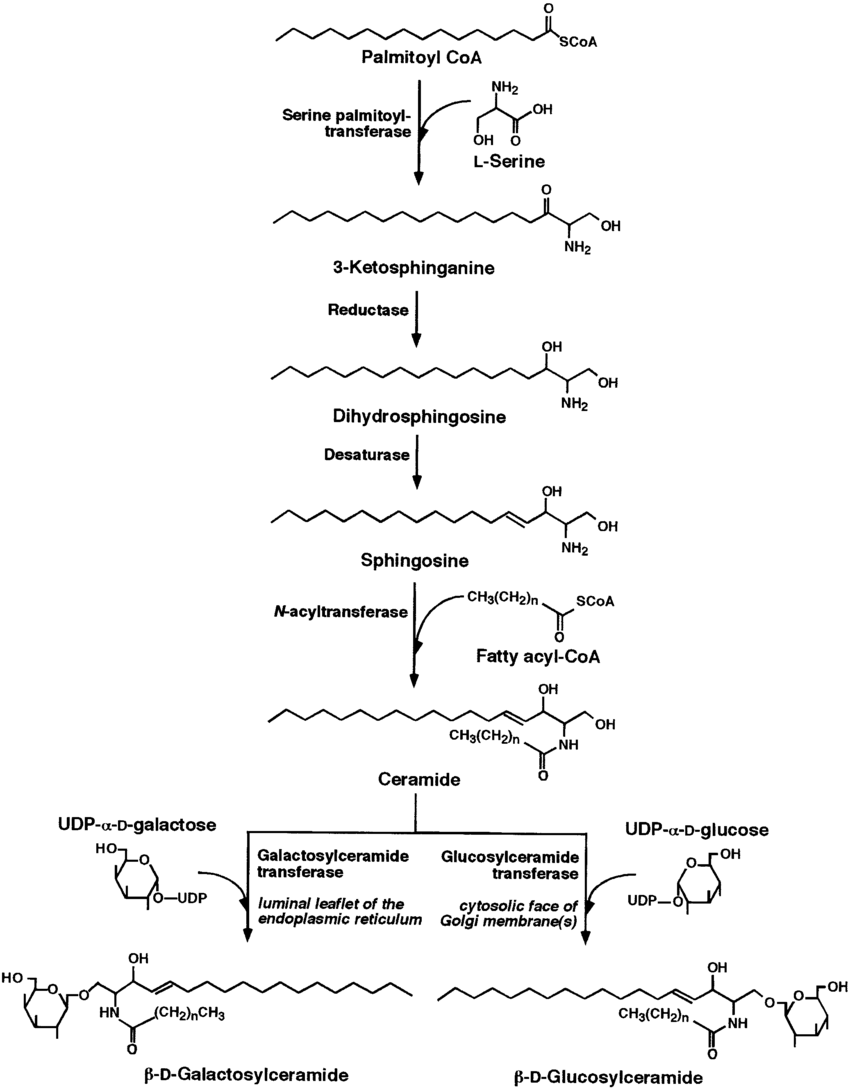
- 不包含甘油(glycerol)
- sphingosine(
鞘胺醇,18C)+fatty acid = Ceramide (雙鍊)
- Ceramide + Phosphatidylcholine = Sphingomyelin + Diacylglycerol (二醯甘油)

- Ceramide + UDP-α-D-galactose 0r UDP-α-D-glucose → glycosphingolipids

- Prostaglandins(前列腺素,簡稱 PGS)
- COX-1, COX-2 基因

- Thromboxane A2(血栓素)
- Leukotrienes(白三烯素)




Note
Glucose-6-phophatase 只有肝臟有,因此肌肉的肝醣不能利用
- 肌肉瞬間爆發力
- 形成 Creatinine (肌酸酐) 代謝


- Receptor tyrosine kinase
- 一般會形成 dimer,但是 Insulin R 自身就是 Dimer

Glucose transporter
- GLUT2
- Liver
- Pancreatic β cell
- small intestine
- GLUT4
- Skeletal m.
- Cardiac m.
- Adipose tissue
- GLUT5
- Adipose cell 產生
- 抑制 fat synthesis
- 促進 β-oxidation
- 抑制 Hypothalamus
- 促進產熱
- 促進 Norepinephrine (唯一去偶合劑,搶電子傳遞)
- 促進分解
- cAMP 增加
- 促進脂肪、肝糖分解
- G protein 途徑
- 促進 Protein Kinase A (PKA)
- 標記分解
- 標記需花ATP
- HECT E3 把它接在 Lysine
- Proteasome 分解
Kidney proximal tubular cells

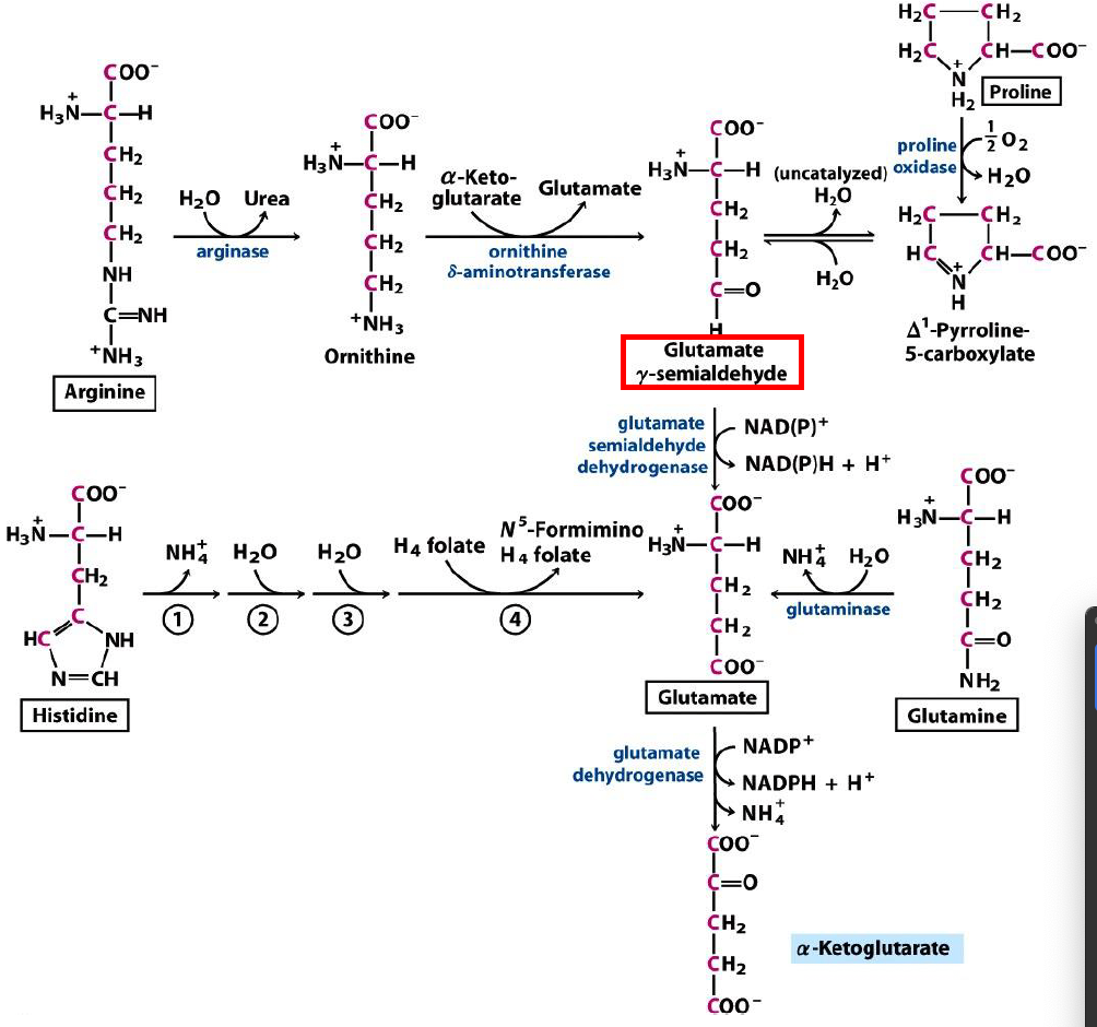
- α-ketoglutarate ↔ L-glutarate
- Alanine aminotransferase (ALT; glutamate pyruvate transaminase, GPT)
- Aspartate aminotransferase (AST; glutamate oxaloacetate transaminase, GOT)
- 大家的輔酶
- Transamination
- Decarboxylation
- Deamination
- Transsulfuration
- Desulfuration
- Heme synthesis
- Racemization
- Tryptophan metabolism
- Amino acid absorption
- 先轉胺再脱胺,α-ketoglutarate 進入 TCA cycle
- aminotransferase
- glutamate dehydrogenase
- 在 mitochondria
- mitochondria 開始,在細胞質結束
- 一圈排除 2N
-
NH4+, CO2, ATP → Carbamoyl phosphate
- 起始酵素: Carbamoyl phosphate Synthetase
-
加 ornithine
- transcarbamoylase

-
Formation of argininosuccinate through a citrullyl AMP intermediate
- oxaloacetate ↔ Aspartate

-
Fumarate 連接 Urea cycle, TCA cycle

-
Formation of urea and ornithine
- Urea + Arginine → Ornithine

氧化脫胺
生酮:3T2L(只生酮)1F (HMV, 必須)

- 帶碳酸根單碳
- Carboxylase 系列的輔酶
- 會和 Avidin 結合 (生雞蛋一堆)

Example
- 脱去單碳
- 大家的輔酶
- Transamination
- Decarboxylation
- Deamination
- Transsulfuration
- Desulfuration
- Heme synthesis
- Racemization
- Tryptophan metabolism
- Amino acid absorption
-
甲基化

-
Homocysteine
- Pyruvate dehydrogenase
- 參與脫氫
- 缺乏:beriberi (腳氣病)

- 唯一有吲哚 (ex. IAA)
- 血清素 (Serotonin)
- 無光,Serotonon → 褪黑激素 (melatonin)

Tyrosine and Phenylalanine
- 黑色素(Melanin)
- tyrosinase
- 兒茶酚胺(Catecholamine)
- BH4, PLP, 甲基化



Glutathione (GSH)
- 清自由基
- NADPH 清除
- 標記分子 (肝臟去毒)
- 折雙硫鍵


Histidine 脱 CO2 (PLP) 轉 histamine
- Iso, Met, Thr, Val
- Biotin, B12

- 不在肝臟分解,在肌肉分解,防抽筋
- leucine, isoleucine, and valine
- 楓糖漿尿症 (Maple syrup urin MSUD)
- 輔酶: TPP


類別 |
胺基酸 |
輔酶 |
衍生物 |
吲哚 |
Trp |
BH4, PLP |
Niacin(菸鹼酸, Vit B3), Serotonin(血清素), Melatonin(退黑激素) |
苯環 → Fumarate |
Tyr, Phe |
- |
Thyroxine(甲狀腺素), Melanin(黑色素), Catecholamines(兒茶酚胺) |
五碳直鏈轉胺 → α-Ketoglutarate |
Glu, Gln |
- |
Glutathione (GSH), γ-aminobutyric acid (GABA,脫酸), Polyamines |
Arg |
- |
NO, Polyamines |
His |
- |
Histamine (組織胺,脫酸 ) |
Pro |
- |
- |
四碳一基 → Succinyl-CoA |
Ile |
Biotin(B7), cobalamins(B12) |
- |
Met |
- |
Thr |
- |
Val |
- |
BCAA 脫酸上SCoA |
Ile, Leu, Val |
- |
- |
Asp, Asn 轉胺 → Oxaloacetate |
Asp, Asn |
- |
- |


- shikimic acid pathway
- Chorismate


- de novo synthesis
- 從頭合成,從最簡單的分子合成


- PRPP amidotransferase
- 產生 Phosohoribosylamine (PRA)
- 調控點
- GAR synthetase
- GAR transformylase
- …產生 IMP


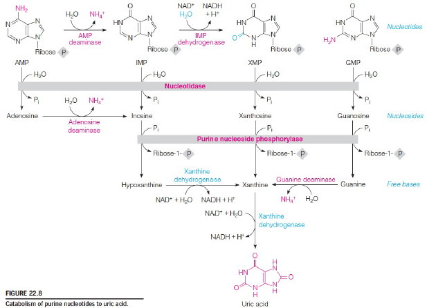
- 脫 Pi
- 脫 Ribose
- 轉成 Xanthine
- Xanthine 不能走 salvage pathway 回去

adenosine deaminase (ADA) deficiency
- Adenosine 無法代謝成 Inosine
- dATP 過多抑制 dNTP 形成

高尿酸原因
- PRPP synthetase 負回饋異常
- HGPRT
- Guanine 走不了 salvage pathway
- Lesch-Nyhan syndrome (先天)
- Glucose-6-phosphatase 異常
- G6P 回不去 Glucose,改走 PPP 路徑

高尿酸藥物
- Allopurinol
- 產生 Xanthine 類似物,抑制 Xanthine dehydrogenase ,阻止產生尿酸
-
原料:Asp, Glu

-
UTP → CTP (最終產物)
-
Cytidine 產生 CO2, NH3, β-Alanine
-
Thymine 產生 Succinyl-CoA,進 TCA
- 四聚體,兩組獨立工作
- dATP 抑制 α
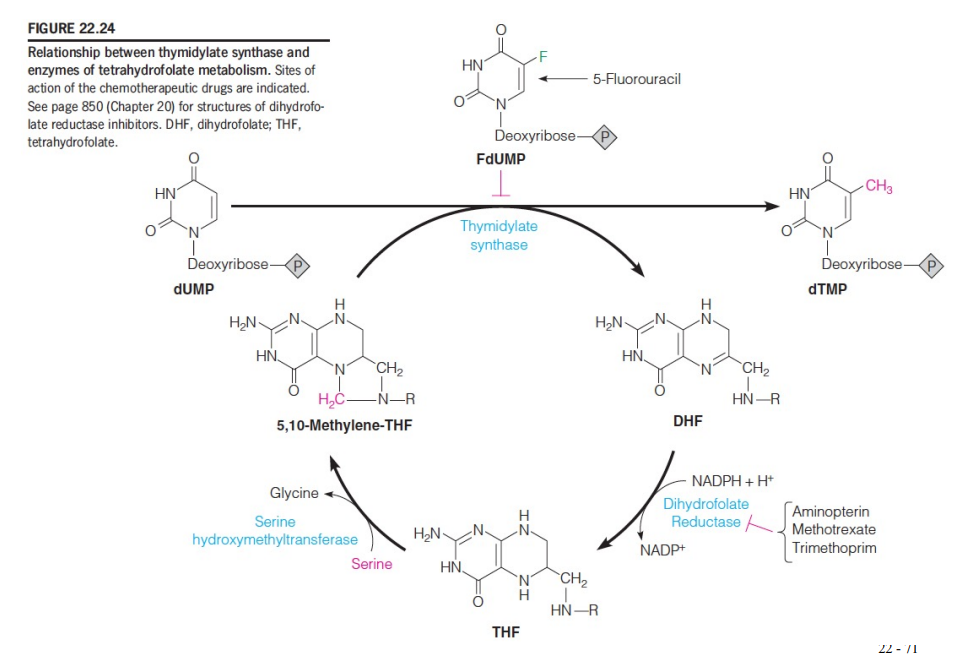
- 原料: NDP (TDP 除外)


- dUMP → dTMP 需要 THF
- Thymidylate synthase
- C5 加上甲基
- 5-FU 競爭抑制

-
AZT
- Thymine
- C3 無法接東西,抑制反轉錄

-
5FU
- U 的 C5 接不上甲基
