
- Nucleic Acids


- Nucleosides
- 五碳+含氮鹼基
- Hairpin structure
- 單股折疊配對
- Hypochromicity(減色效應)
- 雙股DNA對波長260nm的光吸收量小於變性的DNA,可
以用來檢測DNA是否變性
- telomeres
- 端粒
- ddNTPs
- C2,C3去氧,聚合中止於此

- DNA-DNA: B form
- Other: A form


-
Z form
- 左旋
- 出現在C-G對多的地方
- 在基因調控上扮演重要角色
- C、T 是anti form,A、G是syn form

-
H form
- 三股螺旋
- 其中一股含豐富的嘌呤及二股含豐富的嘧啶。
- A與兩個T配對,G與兩個C配對,每個鹼基都是從側邊配對。
- 有 Watson-Crick base pairing 和 Hoogsteen-type base pairing

富含鳥嘌呤的核酸序列所構成的四股型態,常見於telomeres



- Peptide bond
- 肽鍵
- pI
- 等電點 中性氨基酸pKa平均

阿斯巴甜
味精

- 可變+2
- pH7 正電,除了Histidine 中性環境下未完全解離,可做為生理緩衝溶液

- π電子吸280nm,特別是Try



分子量
110×胺基酸長度
- conjugated protein
- 不只是氨基酸
- prosthetic group
- 輔基,不是氨基酸部分
- Denaturation
- 變性,不涉及蛋白質一級結構的變化,次級鍵被嚴重破壞。
- molecular chaperone
- 伴護蛋白,幫助功能蛋白折疊
內切酶 |
位置 |
Trypsin |
Lys, Arg (C) |
Chymotrypsin |
Phe, Try, Tr |
CNBr |
Met |

- Assembled subunits 的每個polypeptide chain 之間非共價鍵。
- Corey-Pauling rules: 肽鍵不能轉
- Cα 兩邊能旋轉,α的θ,ψ 同號

- Chaperones
- 加速一級結構摺疊
- 3.6胺基酸一圈,長度 1.5× 胺基酸數
- 沒有 Pro

Circular dichroism
旋光看βα
X-ray diffraction crystallography
決定三級結構

holoprotein vs apoprotein

- coiled coil
- α絞在一起
-
Lys, Pro 接 OH再接 Gal, Glc
-
Cross link 發生在 Lys 的 N

-
脊椎動物獨有
-
非α-Helix
-
Tropocollagen
Hemoglobin 是 Allosteric Protein(結合後會催化其他結合)

2,3-BPG
擠回T-form,降低O_2_結合力

胎兒


Ca2+ and Tropomyosin
flagella and cilia
PrPc: 正常,α-helix
PrPsc: 致病,β-sheet
產生雙硫鍵→氧化
- L-form C5的OH在左邊,D-form C5的OH在右邊
- 成環D在下

- Glycoside
- 醣基 C1
- anomeric pair
- C1的OH在下面為α
- mutarotation
- anomeric pair 互變
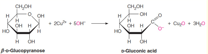
- Aldonic acid
- C1氧化,醣酸

- glucitol
- 山梨醇,葡萄糖還原成醇
- furanoses
- 五環
- pyranoses
- 六環
- oligosaccharides
- 寡醣 3-10
- Uronic acids (Glucuronic acid)
- C6氧化,解毒用

- Alditols
- C1還原
- amylose and amylopectin
- 無/有分支多醣
- Sorbitol
- 堆積造成糖尿病白內障
- Lectins
- 為蛋白或醣蛋白,可辨認糖基,與之結合
醣 |
Sucrose |
α1→β2 |
Maltose |
α(1→4) |
lactose |
β1→β4 |
- 糖胺
-
- pyranose
-
肝醣與澱粉 glycogen and starch
8-12個α(1 → 4)出一個α(1 → 6)

β(1 → 4)
β(1 → 4)

蛋白聚糖 Proteoglycans
黏多醣+蛋白質

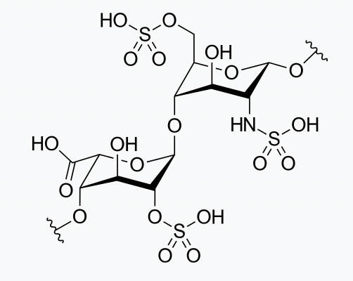
- Heparin
- 阻止血栓

- β (1 → 4)
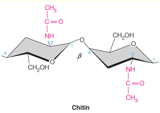
- N-Acetyglucosamine (NAG), N-Acetylmuramic (NAM) 交錯形成鏈
- 鏈之間氨基酸連接
- Lysozyme 切斷醣鏈
Gram-positive/ negative/
- 陰性只有一層多糖


- 高度硫化的糖胺聚糖抗凝血劑
- The α(1 → 4) and β(1 → 4)bonds alternate
- β(1→4)

C1 接 Asn 的 NR
C1 接 Ser 的 O

B 成環多α, β
這種東西
- Kinase
- 激酶,磷酸化
- Phosphatase
- 磷酸酶,去磷酸化
- key and lock model
- induced-fit model
- conformation selection model
E+Sk2⇄k1ES→k3E+P
(k2+k3)[ES]定義 Km[Et](所有E)全變成ESVmax=k1[E][S]=k1k2+k3⇒=k3[Et]
反應初速 V0=k3[ES]=k3Km−1[E][S]=Km−1(k3[Et]−k3[ES])[S]=Km−1[S](Vmax−V0)
使用 Pre-steady state (還沒飽和)
V0=Km+[S]Vmax[S]
V−1=Vmax−1Km[S]−1+Vmax−1
kcat
一個酵素分子在一定時間內可將受質轉變為產物的受質數量 即 k3
Km
酵素與受質間親和力的指標,Km越大親和力越小
Kmkcat
反比雙倒數圖的斜率



EC ?.?.?.?
- Oxidoreductases
- Transferases
- Hydrolases
- Lyases
- catalyze removal of a group from or addition of a group to a double bond, or other cleavages involving electron rearrangement.
- Isomerases
- Ligases
- R1,R2 儲存能量

Serine 多了甲基

- shaft 蛋白質特徵
- 大分子運輸

Glucose → 2 Pyruvate
NADH進入粒線體
- Hexokinase 磷酸化 Glucose C6 接變G6P
- G6P Isomerases 催化 G6P 變五環 F6P
- Phosphofructokinase 磷酸化 F6P 變FBP
-
切兩塊

-
變 2 GAP

- 磷酸脫氫
- NAD+氧化aldehyde產生酸,酸+ Pi 磷酸化
- 吸熱
G3P + Pi + NAD+→ BPG + NAD+ + H+
-
BPG + ADP → 3FP + ATP
-
Pi換位置
- 3PG → 2PG
- His在2接上Pi ,再拿3的pi

- Enolase 脫水
- PEP→ Pyruvate, 大放熱

加磷酸難回頭
Mg+能接兩個電子,用以穩定結構

Pasteur effect
酵母菌暴露空氣,無氧呼吸轉為有氧,Glucose, G6P, F6P 用量大減、NADH 累積
Galactose → G6P
- UDP-Glc→UDP-Gal 負責把4號OH翻過來
- Epimers 再把 UDP-Gal 轉回來
- 磷酸化(glycerol kinase)
- 氧化(dehydrogenase)
肝、腎
丙酮酸羧化
- pyruvate carboxylase
- 產生 Oxaloacetate
- 需要ATP, biotin
- 在 粒線體 進行,mitochondrial malate dehydrogenase(mitochondrial MDH)還原成用 Malate 穿膜
比較:Malate/aspartate shuttle
Oxaloacetate 磷酸化成 PEP
- 細胞質、粒線體都有 Kinase
- PEP/ Malata 穿粒線體膜
拔Pi
- bisphoshaatase
- glucose-6-phosphatase
骨骼肌產乳糖,到肝臟再生成葡萄糖
脂肪酸代謝,丙烯輔酶A 轉乘 Oxaloacetate

- 用 phosphorylase 拆(Pi在C4,再轉成G6P)

- phosphorylase: 切長鏈(剩下4個)
- amylopectin: 搬運短鏈
- α(1→6)-glucosidase: 切α(1→6)
算了吧。。。
- Phosphoylase
- 拆下來的是 G1P,進入糖解產生3ATP
直鏈

支鏈

-
拔酮,接到醛上面

-
需要TPP穩定

- 2.5mole ATP

- Flavoprotein

- 大多在蛋白質裡面
- 血基質(heme)

- NADH → FMN → Fe-S → CoQ
- Succinate → FADH2 → Fe-S → CoQ
- 有 HemeB 做保險
- CoQH2 → Cyt b → Fe2-S2 → Cyt c1 → 2Cyt c
Q cycle
QH2一次傳一顆電子給 Cyt C
- 2Cyt c → CuA → heme a → heme a3-CuB → O2
- CN- 、 CO H2S抑制
- 一對電子產成ATP數量
- 人類10個 H+ 轉一圈(c subunit),產三個ATP
- 磷酸根進入粒線體需要同向運輸H+
- HIF
- PDH kinase
- COX4 失去功能
- ATP 回細胞
- 產生乳酸
- Oxidase
- 產物無氧化劑
- Oxygenases
- 產物有氧化劑
- ER, Mitochondria, 細胞膜
- 氧化酶,氧化類固醇、脂肪酸
- 附加 OH-
- 啟動細胞凋亡 Intrinsic Apoptosis
- Glutathione
- Vitamins C and A
- Vitamins E (alpha tocopherol)
- Uric acid
- 氧化脫酸,Pyruvate → Acetyl-CoA
- 產生 1NADH
- 不可逆
- 催化劑:pyruvate dehydrogenase complex (PDC/ PDH)
- Cofactor 在 VitB裡面
- pyruvate跟TPP(Thiamine Pyrophosphate)結合
- N,S讓 C容易形成 C-,攻擊 pyruvate
- Lipoamide(Lipoyl-E2)從 HETTP 拿走 acetyl group
- 和CoA結合。
- 產生 Acetyl-CoA
- 怕砷
- riboflavin → FADH2 → NADH 形成
- VitB2
CoA
- Pantothenic acid(Vit B5) + ADP
- 產生 CO2 、 electron carrier
- CO2來自 Oxaloacetate
Mitochondria
- 外膜有許多由孔蛋白(Porin),讓分子量小於5000及離子可以自由穿過
- 內膜篩選
- Acetyl-CoA和oxaloacetate(OAA)結合形成 citrate (檸檬酸)
- 不可逆
- Citrate synthase 會被NADH、ATP和succinyl-CoA所抑制
- 2°醇氧化成酮 (oxalosuccinate)
- 形成 NADH
- 脫去 CO2,形成α-Ketoglutarate
- isocitrate dehydrogenase被ATP和NADH所抑制;被ADP和NAD+所活化
- 僅留下 Acetyl-CoA的酸
- 形成 NADH
- 接上 CoA,形成 Succinyl-CoA
- α-Ketoglutarate dehydrogenase 被ATP、NADH和succinyl-CoA抑制,並會被ADP及NAD+促進
- succinyl-CoA synthetase
- His 參與
- 產能
- succinate dehydrogenase會出現在粒線體
的內膜上 (Cox II)
- C2氧化形成烯 (trans)
- 產生 FADH2
- fumarate hydratase 有 trans 專一性
- 2°醇氧化,形成 Oxaloacetate
- 形成 NADH
- 吸熱
- 路徑一:Pyruvate變成OAA
- 要用掉ATP
- 酵素是Pyruvate carboxylase
- 在肝、腎細胞旺盛
- 和 PDH路徑拮抗,Acety-CoA 太多 Pyruvate 就會改走這裡
- Biotin (VitB7)參與
- 路徑二:PEP變成OAA
- 酵素是PEP carboxykinase
- 在動物的心、肌肉細胞
- 路徑三:PEP變成OAA
- 酵素是PEP carboxylase(要和前一個酵素區分清楚)
- 在植物、微生物細胞
- 路徑四:Pyruvate變成Malate(再變成OAA)
- 酵素是malic enzyme
- 在所有真核細胞和細菌
- 在脂肪酸合成的過程中,這個反應也可以走反方向,也就是Malate回到 Pyruvate,產生大量NADPH。
補充:很多合成反應要用到NADPH作為能量來源,在分解作用則是用到NADH作為能量來源。
- FBP Pi接在1,6、F2,6BP在 2,6

- Bifunctional 酵素,
- 磷酸化則偏向FBPase-2 ,拆 F2,6BP (升糖素促進)
- 去磷酸化則偏向PFK-2,做F2,6BP (胰島素促進)
肝臟內運行
- Glucose促進 GKRP釋放 hexokinase isozyme IV (HKIV)
- insulin 促進 PFK-2/FBPase-2 去磷酸化
- 去磷酸化 PFK-2/FBPase-2與 HKIV 結合,催化 F6P→F2,6P
- F2,6BP促進F6P→FBP
- 肝細胞糖解

- PDH E1 磷酸化無活性
- PDH E2, E3產物抑制自己
- NADH ⇥ ALL
- ADP/ATP, Ca2+ → PDH, isocitrate dehydrogenase
- Succinyl-CoA ⇥ α-Ketoglutarate dehydrogenase